SB1
Session assets
Please decide on your access
Please use the buttons below to download the presentation materials or to visit the external website where the presentation is linked. Regarding the external link, please note that Copernicus Meetings cannot accept any liability for the content and the website you will visit.
Forward to presentation link
You are going to open an external link to the presentation as indicated by the authors. Copernicus Meetings cannot accept any liability for the content and the website you will visit.
We are sorry, but presentations are only available for users who registered for the conference. Thank you.
Oral and Poster presentations and abstracts
Isotopic anomalies in meteorites have revealed two reservoirs of planetesimal formation corresponding to non-carbonaceous (NC) and carbonaceous (C) compositions sampling the inner and more outer regions of the disc respectively (Kruijer et al. 2020), or possibly formed at different periods (Lichtenberg et al. 2021). Chronological studies provide constraints on the timing of such separation lasting between 1 and 4 Myr after CAIs. Generally, differentiated planetesimals are found to be prevalent in the NC region and accreted within <0.5-2 Myr after solar system formation, forming before undifferentiated NC and C parent bodies (2 to 4 Myr). NC irons started accreting slightly before C irons but all within 1 Myr (Kruijer et al. 2020; Lichtenberg et al. 2021).
We present here a first group of 12 partially differentiated primitive C achondrites which are isotopically related to the CR2 chondrites. We propose the name of Tafassites after the Tafassasset meteorite. These meteorites are currently classed as CR6, CR7, ungrouped chondrites and achondrites, or primitive achondrites. Among these, we investigated Taffassasset, NWA 7317, NWA 11561 and NWA 12455 for their mineralogy and textures, and modelled their two-pyroxene equilibration temperatures (1334 to 1413 K), and fO2 (-1.4 ± 0.1 in log unit below the iron-wüstite buffer). We also obtained in-situ SIMS U-Pb ages in merrillite phosphates (closure temperature Tc ~720 K) ranging from the oldest at 4561.0 ± 2.9 Ma (n=21, uncertainties reported as ±1σ) for NWA 11561, 4560.1 ± 2.9 Ma (n=10) for NWA 7317, 4558.4 ± 3.5 Ma (n=16) for NWA 12455 and slightly younger 4549 ± 8 Ma (n=7) for Tafassasset (Schwarz et al. 2021). On average, the duration of cooling recorded by phosphates lasts for 8 ± 4 Myr after formation of calcium aluminium-rich inclusions (CAIs).
We use these observations and parameters along with geochemical and geochronological literature data to constrain the formation and thermal evolution of the Tafassite parent body (TPB). We performed numerical modelling of the accretion and thermal evolution of the TPB (Neumann et al. 2018). The best fit for accretion occurs at 0.9 ± 0.1 Myr after CAIs, with a corresponding radius of >50 km. This age is before the formation of two other CR-related differentiated achondrite and the CR2 chondrite PBs at ~1.5, ~1.7, and ~4 Myr, respectively (Sanborn et al. 2019). Our results indicate that TPB formed concurrently with NC primitive achondrite PB (Neumann et al. 2018).
Based on geochemistry and reported 17O-54Cr-50Ti isotopic anomalies (Sanborn et al. 2019), Tafassites can be further distinguished from CR2 chondrite and NWA 011 and NWA 6704 differentiated achondrite parent bodies (PB). While a high pebble flux is a preferred mechanism for regulating early planetesimal formation (Lenz et al. 2019; 2020), the close relationship of isotopic anomalies for 54Cr among these CR-related planetesimals suggest instead that limited radial mixing of pebbles as building material occurred after 1 Myr of disc evolution. The late formation and compositional observations of CR chondrites require both a change to less efficient planetesimal formation and a pebble storage mechanism, e.g., in disc ring structures (Hartlep and Cuzzi 2020). Our results therefore demonstrate that rocky parent bodies accreted early and sequentially, from 1 to 4 Myr after CAIs, and depict different accretion mechanisms within a limited region of the outer solar system.
References:
Hartlep and Cuzzi. 2020. Cascade Model for Planetesimal Formation by Turbulent Clustering, The Astrophysical Journal, 892: 120.
Kruijer, Kleine and Borg. 2020. The great isotopic dichotomy of the early Solar System, Nature Astronomy, 4: 32–40.
Lenz, Klahr and Birnstiel. 2019. Planetesimal population synthesis: Pebble flux-regulated planetesimal formation, The Astrophysical Journal, 874: 36.
Lenz, Klahr, Birnstiel, Kretke and Stammler. 2020. Constraining the parameter space for the solar nebula-The effect of disk properties on planetesimal formation, Astronomy & Astrophysics, 640: A61.
Lichtenberg, Dra̧żkowska, Schönbächler, Golabek and Hands, 2021. Bifurcation of planetary building blocks during Solar System formation, Science, 371: 365-70.
Neumann et al. 2018. Modeling the evolution of the parent body of acapulcoites and lodranites: A case study for partially differentiated asteroids, Icarus, 311: 146-69.
Sanborn et al. 2019. Carbonaceous achondrites Northwest Africa 6704/6693: Milestones for early Solar System chronology and genealogy, Geochimica et Cosmochimica Acta, 245: 577-96.
Schwarz et al. 2021. Pb-Pb Ages of Chondritic Phosphates. Lunar and Planetary Science Conference, Abstract # 1981.
How to cite: Bouvier, A., Ma, N., Neumann, W., Neri, A., Schwarz, W. H., Ludwig, T., Trieloff, M., and Klahr, H.: Early and sequential formation of planetesimals in an outer region of the protoplanetary disc, Europlanet Science Congress 2021, online, 13–24 Sep 2021, EPSC2021-846, https://doi.org/10.5194/epsc2021-846, 2021.
The formation mechanism of pallasite meteorites, which are mixtures of Fe-Ni metal and olivine (Figure 1), is not agreed upon within the literature. Formation hypotheses as diverse as relict core-mantle region material [1], catastrophic impact-related mixing [2], metallic volcanism [3], fractional melting of a chondritic body [4] or a combination of the above [1] have been suggested. In this abstract, we build on the recently published results of Murphy Quinlan et al., 2021 [5], with a focus on the formation of pallasite meteorites and constraint of their formation environment using coupled numerical models.

Numerical models of the thermal evolution of planetesimals provide us with insights into the geological context of meteorite samples. Temperature-dependent properties such as thermal conductivity and volumetric heat capacity control the thermal evolution of these early-Solar System bodies. We explore the effect of incorporating T-dependent material properties on the thermal evolution of a meteorite parent body, and investigate whether this results in different interpretations of meteorite samples, for example the depth of formation of pallasite samples based on cooling rates recorded in their metal portion [6].

We have developed an open source Python package, Pytesimal [7], to perform numerical models of conductively cooling planetesimals with T-dependent conductivity, heat capacity and density. We observe that including temperature dependent properties produces differences in thermal history, and in turn the timing and depth of formation of meteorite samples [Figure 2]. When implemented in a model of a 250 km radius pallasite parent body, T-dependent properties delay the onset of core crystallisation and the inferred period of dynamo activity by ∼40 Myr, approximately equivalent to increasing the planetary radius by 10% [5]. This result cannot be reproduced by using the best-fitting constant values for thermal properties, and reduces the acceptable range of planetesimal radii and core sizes that are compatible with paleomagnetic evidence from pallasite meteorites [5–8].

The output of this model can be used to investigate the thermal evolution of the pallasite formation region for different parent body geometries in order to test different formation mechanisms. Figure 3 shows the cooling rates in this region of the mantle for a 250 km radius planetesimal with a core size of 50% the total planetary radius, in comparison to a "stripped mantle" model with a core size 70% of the total 300 km planetesimal radius. The differing temperatures and cooling rates between parent body models can be combined with petrological and geochemical evidence to interrogate the likelihood of different formation scenarios.
How to cite: Murphy Quinlan, M., Walker, A., Davies, C., Mound, J., Mueller, T., and Harvey, J.: Investigating the pallasite parent body at multiple scales, Europlanet Science Congress 2021, online, 13–24 Sep 2021, EPSC2021-774, https://doi.org/10.5194/epsc2021-774, 2021.
Introduction
Psyche has long been considered as a remnant of the iron core of an early planet. Due to its uniqueness, Psyche was selected as a target of the NASA Discovery mission. Psyche was initially thought to be an entirely metallic object with typical lunar soil porosities [1,2]. However, the reported bulk density (~4.0) is significantly lower than that of metallic materials (~7.5), inducing an extremely high porosity (> ~50%) [3]. This inconsistency indicates Psyche may have materials other than metals. Several remote sensing observations [4-6] and investigations [7,8] also support potential indications of silicate materials on Psyche’s surface. Given that Psyche has metallic and silicate-rich components, one hypothesis is a fragmented remnant core with a partially-stripped silicate layer driven by hit-and-run impacts [9]. Another hypothesis is a differentiated silicate-iron body that has experienced Ferrovolcanism [10]. Both scenarios suggest the identical interior structure that is a metallic core covered with a silicate-rich layer.
Here, we numerically constrain the size of the iron core and silicate-rich layer by using the Three-layer model and FEM approach. We further investigate if the estimated structure is possible to expose the metallic components at depressions. A better understanding of the internal structure of Psyche will allow us to infer surface conditions observable on NASA’s Psyche mission that will provide key information on Psyche’s history.
Three-layer model
The silicate-rich layer of Psyche could be compressed under the high-pressure distribution of ~10MPa caused by the dense iron core [11-13]. Thus, we develop a structure containing a metallic core, crushed (compressed) silicate-rich layer, and un-crushed silicate-rich layer (top surface layer) (Fig. 1). The entire shape is given by the radar-driven shape model [4]. We assume spherical shapes of the core and crushed silicate layer. While the total bulk density is fixed at 4.0 [3,4], each layer has a different bulk density, depending on the combination of porosity and the grain density of the composition. Table 1 shows possible ranges of geophysical parameters for each layer.
Core size constraints using FEM approach
The Finite Element Model (FEM) computes pressure distributions based on linear-elastic deformation [18]. In FEM simulations, we set the structure of Psyche as the three-layer model that rotates along the shortest principal axis with a spin period of 4.2 h [4]. The initial structure layout is randomly given. Using the pressure distribution data from FEM simulations, we track down the boundary layer between the top surface and the crushed layer by detecting silicate-rich areas that exceed the crushing limit of ~10 MPa. By Reiterating the simulation until finding a unique case where the given structure layout provides the matched boundary layer, we can constrain the size of each layer (The detailed algorithm is described in Fig. 2). Figure 3 shows a unique case when the boundary layer matches the crushing limit.
Results
We run 22,500 cases within possible porosity ranges of the top surface layer and iron core. Figure 4 is a color map showing the constrained core size in radius. The minimum core radius is estimated to ~76 km at the lowest porosities, while the maximum is ~103 km at that of the highest values. This result indicates a distinct relationship between core size and porosity. As the iron core has a higher porosity, its size becomes larger, inducing a relatively thin silicate layer. Furthermore, Psyche remains a large iron core if the top surface layer is highly porous. We also notice that the core size is nearly linearly dependent on the porosity of each layer.
Exposed iron core at depressions
The current shape model of Psyche shows two depressions in the southern hemisphere [4]. The larger crater (D1) is centered at longitude 90° and latitude -80° with a diameter of 67±15 km, while the smaller one (D2) is located around longitude 304° and latitude -52° with a diameter of 53±15 km. Shepard et al., 2017 detected the highest radar albedo at the two depressions. This may imply the abundance of metallic materials in these regions. We investigate the depth of two craters and find the porosity ranges to excavate the iron core at the depressions.
Given the crater sizes, we can estimate the depth of D1 and D2 based on the simple crater formation process [19]. The depth estimates are 6.7 km and 5.5 km at D1 and D2, respectively. These values are within the uncertainties of the shape model [4]. If two craters actually excavated iron-core materials, the porosity of the iron core should be higher than ~20 % with a highly porous top surface layer (Fig4). Although the crater profiles of D1 and D2 are similar, we may observe the exposed iron core at the broader area in D1 because this crater is located near the south pole, where the silicate layer is thinner than the equatorial region.
Acknowledgments
Y.K and M.H acknowledge the support from Auburn University’s IGP.
References
[1] Ostro et al. (1985) Science, 229, 442. [2] Shepard et al. (2008) Icarus, 195(1), 184-205. [3] Elkins Tanton et al. (2020) JGR, 125.3. [4] Shepard et al. (2017) Icarus, 281, 388-403. [5] Sanchez et al. (2016) AJ, 153(1), 29. [6] Takir et al. (2016) AJ, 153(1), 31. [7] Landsman et al. (2018) Icarus, 304, 58-73. [8] Caldwell et al. (2020) Icarus, 351, 113962. [9] Asphaug et al. (2006) Nature, 439(7073), 155-160. [10] Johnson et al. (2020) Nat. Astron., 4(1), 41-44. [11] Carry (2012) Planet. Space Sci., 73(1), 98-118. [12] Britt et al. (2003) Asteroid III, 485-500. [13] Shi et al., (2016) Acta Mechanica Solida Sinica, 29(1), 78-94. [14] Britt and Consolmagno (2003) Meteorit. Planet. Sci., 38(8), 1161-1180. [15] Consolmagno et al. (2008) Geochemistry, 68(1), 1-29. [16] Scheinberg et al. (2016) JGR, 121(1), 2-20. [17] Wieczorek et al. (2013) Science, 339(6120), 671-675. [18] Hirabayashi et al. (2021) Icarus, 114493. [19] Melosh (1989) Impact cratering: A geologic process, icgp.





How to cite: Kim, Y. and Hirabayashi, M.: A possible interior layout of (16) Psyche, Europlanet Science Congress 2021, online, 13–24 Sep 2021, EPSC2021-240, https://doi.org/10.5194/epsc2021-240, 2021.
Correlations between family-age and the mean value of slope of the spectral distribution, caused by the cumulative effect of cosmic irradiation, have been established for S-type dynamical families by many authors. We noticed that if there is a variety in the primordial surface composition, then the typical timescale that determines the speed of this evolution is bound to have a range of values. Consequently, as the mean value of the color distribution tends to steeper (redder) slopes, a progressive skewness in this distribution should develop. Using SDSS-MOC-4 colors and NEOWISE albedos, we cross-examined the S-type families members as defined by both Nesvorny et al. (2015) and Spotto et al (2015) and retained only members with albedos and colors in the characteristic range of the S-types. We corroborate the color evolution with age and we compare our results with previous estimations. Using only the "true S-type" family members, we also find a significative correlation between some particular skewness-estimation parameters and age. Our results offer additional evidence of the effects of cosmic-radiation on asteroidal surfaces and may provide possible new relations to determine the age of S-type dynamical families.
References
Nesvorny D.(2015). NASA Planetary Data System, id. EAR-A-VARGBDET-5-NESVORNYFAM-V3.0
Spoto, F.; Milani, A.; Knežević, Z. (2015). Asteroid family ages. Icarus, Volume 257, p. 275-289.
How to cite: Melita, M. D., Tello-Huanca, E., Kanuchova, Z., Strazzulla, G., and Brunetto, R.: Study of the changes of the distribution of spectral properties of S-type asteroidal dynamical families with age: Mean values and Skewness., Europlanet Science Congress 2021, online, 13–24 Sep 2021, EPSC2021-464, https://doi.org/10.5194/epsc2021-464, 2021.
The NASA Dawn mission orbited Vesta between July 2011 and September 2012. The VIR imaging spectrometer(1) obtained a nearly global mapping of its surface in the visible (0.25-1µm) and infrared wavelengths (1-5µm).
The VIR data acquired in the visible range have been recently corrected for instrument artefacts(2) and their calibration has been refined(3,4). This allows us to study the variation of various spectral parameters across the surface of Vesta(5). Here we present a study of the lithology of Vesta as derived from the visible dataset alone.
Figure 1 – Mean VIS spectrum of Vesta with close-up on the two spin-forbidden band at 506nm and 550nm.
Thanks to Dawn/VIR results, it is well established that Vesta is indeed the parent body of the Howardite-Eucrite-Diogenite (HED) clan of meteorites(6). For this reason, the study of Vesta‘s lithology generally means associating a HED type with the spectral profile observed on the surface. This is usually done by combining VIR visible and infrared data together(7,8,9), as the Vesta’s surface is characterized by two prominent pyroxene absorption bands centred at about 0.9µm and 1.9µm, whose position is indicative of the HED type.

Figure 2 – Band centre at 506nm versus band centre at 930nm. Coloured dots and boxes correspond to HED RELAB data: red: diogenite, green: howardite, blue: eucrite.
Here we used only the visible dataset to infer the lithology of the surface of Vesta. To do so, we estimate the centres of the 930nm pyroxene band and of the 506nm spin-forbidden band (Fig. 1). We applied the same approach with HED data from the RELAB database (Fig. 2). Because the centres of these two bands shift in wavelength according to the pyroxene composition(10), this allows one to associate VIR visible data with a specific HED type. By flagging these VIR data from 0 for eucrite, to 5 for diogenite, we build a map that reflects the lithology of Vesta in terms of HED type, as illustrated on Fig. 3. We demonstrate that by using the visible dataset only, a substantial agreement is found with previous lithology maps obtained one using both visible and infrared data combined together(8,9).

Figure 3 – Map of the lithology, following the HED types: eucrite (blue), eucrite-howardite (light blue), howardite (green), howardite-diogenite (orange), diogenite (red).
The latest correction of VIR data makes the identification of the 550nm spin-forbidden band in the Vesta spectra possible. This band is shallower than the 506nm-band (see Fig 1.). Contrary to the latter, no centre shift is observed across the surface, preventing to attribute a HED type as done with the 506nm band. This confirms results of a previous study(11) showing that the 550nm centre does not shift according the iron content of synthetic pyroxene.
Thanks to the spectral capability of VIR and the correction and calibration of the data, the identification of small spin-forbidden absorption bands is now possible. Combined with the 930nm pyroxene band, the lithology of the surface, based on HED meteorite type, can be inferred without the use of infrared data.
Acknowledgments
VIR is funded by the Italian Space Agency (ASI) and was developed under the leadership of INAF-Istituto di Astrofisica e Planetologia Spaziali, Rome, Italy (Grant ASI INAF I/004/12/0). The instrument was built by Selex-Galileo, Florence, Italy. The authors acknowledge the support of the Dawn Science, Instrument, and Operations Teams. This research utilizes spectra from the NASA RELAB facility at Brown University.
References
1. De Sanctis et al., Space Science Reviews, Springer Nature, 2011, 163, 329-369
2. Rousseau et al., Review of Scientific Instruments, AIP Publishing, 2020, 91, 123102
3. Raponi et al., Life, MDPI AG, 2020, 11, 9
4. Rousseau et al., EDP Sciences, 2020, 642, A74
5. Rousseau et al., Lunar and Planetary Science Conference, 2021, 1440
6. McCord et al., Science, 1970, 168, 1445-1447
7. De Sanctis et al., Science, 2012, 336, 697
8. Ammannito et al., Meteoritics & Planetary Science, Wiley, 2013, 48, 2185-2198
9. McSween et al., Journal of Geophysical Research: Planets, 2013, 118, 335-346
10. Burns R.G., Mineralogical Applications of Crystal Field Theory, Cambridge University Press, 1993
11. Klima et al., Meteoritics & Planetary Science, Wiley, 2007, 42, 235-253
How to cite: Rousseau, B., De Sanctis, M. C., Raponi, A., Ciarniello, M., Ammannito, E., Frigeri, A., Carrozzo, F. G., Tosi, F., Scarica, P., Raymond, C. A., and Russell, C. T.: Dawn/VIR at Vesta: lithological inference from the visible data, Europlanet Science Congress 2021, online, 13–24 Sep 2021, EPSC2021-84, https://doi.org/10.5194/epsc2021-84, 2021.
Slow rotators among asteroids
Recently published results from Kepler and TESS space missions (Molnar 2018; Pal et al. 2020) revealed surprisingly large numbers of slow rotators (P>12 hours) among main belt asteroids. Previous, ground-based surveys usually disfavoured them, so they also lacked dense lightcurves from multiple apparitions, essential for the spin and shape reconstruction. Such targets are also poorly studied in the thermal infrared range, because thermophysical modelling (TPM) requires spin and shape model as input. However slow-rotators are particularly interesting on that matter, due to their expected larger skin depth able to probe their denser or more conductive layers underneath the upper regolith (Harris & Drube 2016, 2020)
Our ongoing survey (see e.g. Marciniak et al. 2015; and 2019) is targeted at slow rotators to decrease this bias, and complement our knowledge of various properties of these objects. We gather dense lightcurves using a rich network of small ground-based telescopes, supplementing the data with the results from TESS and Kepler spacecrafts, where available.
Simultaneous optimisation
For the modelling we are using a novel approach to simultaneously optimise model spin, shape, size and thermal inertia using both visible lightcurves mainly from our survey, and thermal data from the infrared satellites, primarily WISE (Wright et al. 2010), IRAS (Neugebauer 1984), and AKARI (Usui 2011). The method joining the two approaches is Convex Inversion Thermophysical Model (CITPM, Durech et al. 2017). As a result we get size-scaled shape models which fit both data types very well. This is often not the case when shape models from lightcurve inversion only are a posteriori used in the TPM. However their slight alteration, eg. via bootstrapping the lightcurves can improve the reduced χ2 substantially (Hanus et al. 2015; 2018). With the CITPM method the thermal data are allowed to alter the shape models on the fly, instead of the two-step approach used in previous studies (see e.g. our benchmark studies within SBNAF project, Muller et al. 2018).
In cases where rich stellar occultation timings were available in the PDS (Herald et al. 2019), we also fit the obtained shape models to occultation chords, obtaining independent size determinations, consistent with the sizes from CITPM. This step also validates shape model topographic features, and in some cases allows to break the degeneracy between two mirror-pole solutions (see figure below). Sizes from CITPM and occultation fitting are in good agreement. In the figure below two contours represent shape models for two mirror pole solutions, while black lines mark occultation shadow chords from occultation timings. Negative (no occultation) chords are marked with dotted lines. North is up and west is right. One of the pole solutions fits much better than its mirror counterpart.
Thermal inertia and sizes
With this approach we recently obtained detailed models for 16 slow rotators (Marciniak et al., submitted). Figure below shows example thermal inertia vs reduced χ2 curves (target: 667 Denise), where the range of solutions with low χ2 values allows to define the range of possible thermal inertias. The solution also constraints the best size range, coded with colour scale, and gives some constraints on surface roughness coded with symbols (f being the percentage of coverage with hemispherical craters, while their opening angle was also optimised in the process).
Results
We substantially enlarged the sample of modelled and precisely scaled slow rotators with available thermal inertia, and validated the approach of simultaneous fitting two different types of data. Determined sizes are on average accurate at 5% precision level, with the diameters in the range from 25 to 145 km. Thermal inertia reaches wide range of values, from 2 to < 400 SI units, with inevitable degeneracy with surface roughness.
Overall, we found no common features or trends among our targets, in particular no trend with the rotation period. The reason might be still small size of the available sample, or the relatively small thermal skin depth (ls) of even the slowest rotators in our sample, where targets with periods up to 59 hours have ls in a few millimetre range.
References:
Durech, J., Delbo, M., Carry, B., Hanus, J., & Ali-Lagoa, V. 2017, A&A, 604, A27
Hanus, J., Delbo, M., Durech, J., & Ali-Lagoa, V. 2015, Icarus, 256, 101
Hanuš, J., Delbo, M., Durech, J., & Ali-Lagoa, V. 2018, Icarus, 309, 297
Harris, A. W. & Drube, L. 2016, ApJ, 832, 127
Harris, A. W. & Drube, L. 2020, ApJ, 901, 140
Herald, D., Frappa, E., Gault, D., et al. 2019, Asteroid Occultations V3.0, NASA Planetary Data System
Marciniak, A., Pilcher, F., Oszkiewicz, D., et al. 2015, Planet. Space Sci., 118, 256
Marciniak, A., Ali-Lagoa, V., Muller, T. G., et al. 2019, A&A, 625, A139
Molnar, L., Pal, A., Sarneczky, K., et al. 2018, ApJS, 234, 37
Muller, T. G., Marciniak, A., Kiss, C., et al. 2018, ASR, 62, 2326
Neugebauer, G., Habing, H. J., van Duinen, R., et al. 1984, ApJ, 278, L1
Pal, A., Szakats, R., Kiss, C., et al. 2020, ApJS, 247, 26
Usui, F., Kuroda, D., Muller, T. G., et al. 2011, PASJ, 63, 1117
Wright, E. L., Eisenhardt, P. R. M., Mainzer, A. K., et al. 2010, AJ, 140, 1868
How to cite: Marciniak, A., Durech, J., Ali-Lagoa, V., Ogloza, W., Szakats, R., Muller, T., Molnar, L., Pal, A., and Monteiro, F. and the Team of asteroid observers: Properties of long-period asteroids from simultaneous optimisation using visible and thermal data, Europlanet Science Congress 2021, online, 13–24 Sep 2021, EPSC2021-29, https://doi.org/10.5194/epsc2021-29, 2021.
1. Introduction
The JAXA Hayabusa2 mission probed the surface of the C-type asteroid (162173) Ryugu both with two touchdown operations to collect samples and return them to Earth, and with remote sensing instruments to characterize it at global scale. Among the payload of the spacecraft, the Near InfraRed Spectrometer (NIRS3) [1] is a point-spectrometer which acquired spectra in the 1.8-3.2 µm range of the asteroid surface to analyse its composition and detect possible heterogeneities. The surface of Ryugu has been shown to be uniformly dark (reflectance factor of 0.017 at 2.0 µm), slightly red-sloped and hydrated due to the presence of a weak, narrow absorption band at 2.72 µm attributed to Mg-phyllosilicates [2]. However, recent studies [3,4] using independent methods of analyses identified minor heterogeneities in the composition on Ryugu.
2. Data and methods
Here we continue and expand such studies by selecting NIRS3 datasets that complement the investigated regions of the surface of Ryugu and/or improve the used spatial resolution. The dates corresponding to the datasets retained are the following (sorted by chronological order): July 19th 2018, October 30th 2018, February 28th 2019, July 25th 2019, July 26th 2019, July 27th 2019, October 8th 2019 and October 24th 2019. The coverage of each dataset on Ryugu is displayed in Figure 1. The data used for the analyses have been thermally corrected [2] and photometrically corrected [5].

The selected datasets are analysed using the G-mode multivariate statistical approach, using the same technique as in [3]. From a sample of N objects, each expressed by M variables, the code classifies each object in an homogeneous group with no other intervention from the user than the choice of the confidence level (labeled q and expressed in term of σ). The errors on each variable are taken into account in the classification. Further details on the method are available in [3,6].
3. Preliminary results
Preliminary results are shown from the analysis of the October 24th 2019 dataset only, which has the highest spatial resolution among the datasets we selected (7.66-9.67 m/footprint) and which covers the majority (~10°-~80°N) of the Northern hemisphere of Ryugu. Applying the G-mode with a confidence level of 2σ, and only on twenty-four selected wavelengths representative of the asteroid spectral properties, as in [3], we obtain four spectral groups. The mean spectra of each cluster are shown in Figure 2. The distribution of the four groups at the surface of Ryugu is presented in Figure 3.


Group #1 contains almost 85% of the spectra, thus corresponding to the average spectral properties of Ryugu. Groups #2 to #4 can be attributed to the compositional heterogeneities. The mean spectra (Figure 2) are mainly separated according to their spectral slope between 2.05 and 2.61 µm. Groups #2 and #4 are the reddest (highest spectral slope), while group #3 is bluer (lower slope) than group #1. We also noted a slight variation for the 2.72 µm absorption band by computing its depth, groups #2 and #4 having the strongest band and group #3 the weakest.
The distribution of the four groups on Ryugu (Figure 3) highlights interesting trends. Groups #2 and #4 seem to be concentrated around large craters (e.g. Cendrillon) and large depressions, such as the one located between 230° and 300° in longitude. On the contrary, group #3 appears inside this depression and in the region gathering large boulders between 200° and 230° in longitude.
4. Conclusion and perspectives
We continue and expand previous clustering analyses of NIRS3 data by applying the G-mode algorithm to new datasets, which improve the spatial resolution and/or surface coverage of Ryugu. The preliminary results obtained for the Northern hemisphere of Ryugu are in overall good agreement with the previous findings for the equatorial region [3], confirming the presence of small heterogeneities on the surface. Moreover, they suggest that the material surrounding craters and depressions could present a redder spectral behaviour and a deeper band at 2.7 µm.
The G-mode will be applied to all of the selected datasets (Figure 1). Selected regions of interest will also be investigated, notably the second Hayabusa2 touch-down region on which was dropped the Small Carry-on Impactor (SCI) to collect fresh material under the weathered surface [7], by analysing and comparing spectra of the area before and after the impact.
Acknowledgements
We thank the Haybusa2 JAXA team for their efforts in making the mission successful. Hayabusa2 was developed and built under the leadership of JAXA, with contributions from the DLR and the CNES, and in collaboration with NASA, Nagoya University, University of Tokyo, National Astronomical Observatory of Japan, Aizu University, Kobe University, and other universities, institutes, and companies in Japan. We would also wish to thank all the engineers who contributed to the success of the Hayabusa2 mission, especially T. Masuda, S. Yasuda, K. Matsushima, and T. Ohshima. We acknowledge financial support from ASI contract No. 2018-27-HH.0 “Partecipazione alla fase E della Missione Hayabusa2”. We also acknowledge funding from the European Union’s Horizon 2020 research and innovation programme under grant agreement No. 870403. ED and JDPD thanks the financial support of the Agenzia Spaziale Italiana (ASI, contract No. 2017-37-H.0 CUP F82F17000630005). MA Barucci and M Fulchignoni acknowledge financial support by CNES.
References
[1] Iwata, T, et al.: NIRS3: The Near Infrared Spectrometer on Hayabusa2, Space Sci. Rev., 208, 317-337, 2017.
[2] Kitazato, K, et al.: The surface composition of asteroid 162173 Ryugu from Hayabusa2 near-infrared spectroscopy, Science, 364, 272-275, 2019.
[3] Barucci, M. A., et al.: Multivariable statistical analysis of spectrophotometry and spectra of (162173) Ryugu as observed by JAXA Hayabusa2 mission, A&A, 629, 2019.
[4] Matsuoka, M, et al.: Clustering analysis of NIRS3 infrared spectral data of Ryugu, 51st LPSC, LPI Contribution No. 2326, 2020.
[5] Matsuoka, M, et al. (in preparation)
[6] Gavrishin, A. I., et al.: Multivariate classification methods in planetary sciences, Earth, Moon and Planets, 59, 141-152, 1992.
[7] Arakawa, M, et al.: An artificial impact on the asteroid (162173) Ryugu formed a crater in the gravity-dominated regime, Science, 368, 67-71, 2020.
How to cite: Bott, N., Perna, D., Deshapriya, J. D. P., Hasselmann, P. H., Barucci, M. A., Domingue, D. L., Dotto, E., Kitazato, K., Matsuoka, M., Palomba, E., Usui, T., and Fulchignoni, M.: Multivariate statistical analysis of high spatial resolution spectra of asteroid (162173) Ryugu obtained by the Hayabusa2 spacecraft, Europlanet Science Congress 2021, online, 13–24 Sep 2021, EPSC2021-656, https://doi.org/10.5194/epsc2021-656, 2021.
Thermalphysical models are widely used to interpret thermal measurements of near-Earth and main-belt asteroids (e.g., Delbo et al. 2015), and in some cases also for icy trans-Neptunian objects (e.g., Müller et al. 2020). The derived radiometric sizes, albedos and thermal properties are reliable when good-quality spin-shape solutions are available and when multi wavelength thermal measurements are available for different phase angles. However, these techniques are not well tested for cases where the majority of the thermal measurements were taken in the short-wavelength regime below the thermal emission peak, e.g., from warm Spitzer-IRAC, WISE-W1/W2 bands, or groundbased observations up to the M-band around 5 μm.
Müller et al. (2017) analysed a collection of pre-mission thermal measurements of 162173 Ryugu, the Hayabusa-2 target asteroid. The data set was dominated by short-wavelength Spitzer-IRAC data at 3.55 and 4.49 μm, complemented by a Spitzer-IRS spectrum and a few individual data points at longer wavelenghts. The best-fit radiometric size (850-880 m), albedo (0.044-0.050) and thermal inertia (150-300 Jm-2s-0.5K-1) agree very well with in-situ properties (896 m, 0.045, 300 ± 100 Jm-2s-0.5K-1; Watanabe et al. 2019; Okada et al. 2020). However, the radiometric solution from 2017 pointed towards a smooth surface. A very low roughness in the TPM setup was required to explain the short- and long-wavelength data simultaneously. This is in strong contrast to the results derived from the Hayabusa-2! Close-proximity measurements of Ryugu obtained by the visual and infrared instruments of Hayabusa-2 revealed a surface roughness rms of 47◦ ± 5◦ (Shimaki et al. 2020), a high value when compared to lunar surface with a rms of surface slopes of 32◦ (Rozitis et al. 2011; Bandfield et al. 2015). So, what went wrong in the 2017 pre-mission TPM study?
We repeated the analysis of the pre-mission IR measurements of Ryugu but now using the in-situ size, shape, spin (Watanabe et al. 2019) and surface roughness properties (47◦ ± 5◦; Shimaki et al. (2020)). In a first step, we used a standard constant spectral emissivity of 0.9. This default ε=0.90 assumption leads to a best-fit thermal inertia above 1000 Jm-2s-0.5K-1 in the radiometric χ2 minimalisation technique (e.g., Alí-Lagoa et al. 2020). In a second approach, we applied a spectral emissivity derived from high-accuracy disk-integrated measurements of the Moon (Müller et al. 2021). The lunar emissivity curve has a minimum value of about 0.7 around 4.5 μm and steeply increasing towards the Christiansen feature in the 7.5-9 μm regime. As a result, we found a very consistent TPM solution for Ryugu for thermal inertias between 150 and 400 Jm-2s-0.5K-1, very close to the published values of about 300 Jm−2s−0.5K−1 (Okada et al. 2020) and 225 ± 45 Jm−2s−0.5K−1 (Shimaki et al. 2020). This example illustrates the importance of realistic spectral emissivity in the context of radiometric studies for short-wavelenghs (<<10 μm) thermal observations.
Figure 1: Multiple thermal-IR observations of Ryugu, divided by the corresponding TPM predictions with the assumption of a constant emissivity of ε=0.9. Model predictions are based on spin, shape, size, albedo, thermal inertia, and surface roughness properties derived from Hayabusa-2 in-situ measurements. The Spitzer-IRS (Campins et al. 2009) and the Spitzer-IRAC point-and-shoot and two IRAC lightcurve measurements from 2013 were already discussed in Müller et al. (2017). The IRAC single point from 2017 (J. Hora, M. Mommert, priv. comm.), as well as the NEOWISE data point (J. Masiero, priv. comm.), are not published yet. The thermal data below 5 μm show very clear indications for a low-emissivity Ryugu surface. Note that the reflected light contribution at the shortest wavelength at 3.55 μm was well below 5% in all cases.
References:
Alí-Lagoa, V., Müller, T. G., Kiss, C., et al. 2020, A&A, 638, A84; Bandfield, J. L., Hayne, P. O., Williams, J.-P., et al. 2015, Icarus, 248, 357; Campins, H., Emery, J., Kelley, J.P., et al. 2009, A&A 503, L17; Delbo, M., Mueller, M., Emery, et al. 2015, Asteroid Thermophysical Modeling (Univ. of Arizona Press, Tucson), 107–128; Müller, T., Ďurech, J., Ishiguro, M., et al. 2017, A&A, 599, A103; Müller, T., Lellouch, E., & Fornasier, S. 2020, Trans-Neptunian objects and Centaurs at thermal wavelengths, ed. D. Prialnik, M. A. Barucci, & L. Young (Elsevier), 153–181; Müller, T., Burgdorf, M., Alí-Lagoa, V. et al. 2021, A&A, accepted; Okada, T., Fukuhara, T., Tanaka, S., et al. 2020, Nature, 579, 518; Rozitis, B. & Green, S. F. 2011, MNRAS, 415, 2042; Shimaki, Y., Senshu, H., Sakatani, N., et al. 2020, Icarus, 348, 113835; Watanabe, S., Hirabayashi, M., Hirata, N., et al. 2019, Science, 364, 268.
How to cite: Müller, T., Alí-Lagoa, V., Burgdorf, M., Sekiguchi, T., Shimaki, Y., Sakatani, N., and Okada, T.: Revisiting Ryugu's pre-/post-mission thermal observations: emissivity determination, Europlanet Science Congress 2021, online, 13–24 Sep 2021, EPSC2021-74, https://doi.org/10.5194/epsc2021-74, 2021.
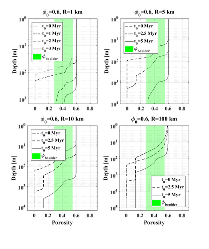
Introduction: Observations of C-type NEAs and properties of carbonaceous chondrites indicate a high porosity of C-type asteroids. Hayabusa2 demonstrated that Ryugu is a low-density rubble-pile[1] dominated by large surface boulders[2]. Boulder thermal properties imply a microporosity of ϕboulder≈28-55%[3,4], substantially higher than for meteorites and indicative of distinct evolution for Ryugu’s parent body from that of water-rich CI/CM chondrites, despite spectral similarities. High microporosity values are consistent with a bulk density of 1190±20 kg m-3[5], a bulk porosity of ≈50%[1], and a macroporosity of ≈16%[6].
We calculated the temperature and porosity evolution for primordial planetesimals and constrained the range of parameters resulting in microporosities compatible with Ryugu’s and likely burial depths for the surface boulders. By varying the accretion time t0 and radius R and by comparing the porosity distribution with ϕboulder, hydration, and partial dehydration, we constrained a field within the (R,t0)-diagram appropriate for bodies that are likely to have produced such material.
Methods: Within the sequence of the parent body evolution, a series of suggested disruption and accretion of intermediate bodies events, and the accretion of Ryugu[5], the boulder microporosity results mainly from parent body processes, e.g., 26Al-induced internal heating, hydration, compaction, and dehydration prior to the first disruption.
We used global thermal evolution and compaction models[7] that predict the microporosity established due to creep processes driven by the joint action of temperature and pressure. No notable creep can be expected in late formed and small objects such as Ryugu or in intermediate objects between the first and last disruption events. Thus, we calculated the interior microporosity of primordial planetesimals with different sizes and accretion times in order to reproduce ϕboulder.

Fig. 1: Final porosity profiles for R=1, 5, 10, and 100 km (left to right, top to bottom). Profiles for different accretion times are shown and compared with the ϕboulder.
Results: The bulk porosity ϕbulk calculated shows that large (i.e., slowly cooling and with a higher pressure) and early accreted (i.e., 26Al-rich) planetesimals compact more efficiently, retaining only a thin porous blanket. By contrast, low-pressure small and late accreted bodies remain highly porous. While ϕbulk provides no information about the porosity distribution, it shows that intermediate conditions with a trade-off between R and t0 should result in high volume fractions of material matching ϕboulder. Of importance for the accretion of Ryugu from the rubble of a larger object is the location of such material within the parent body. The final porosity distribution is shown in Fig. 1 and compared with ϕboulder. Profiles for R=1, 5, 10, and 100 km and several accretion times shown represent different types of structures with up to three layers defined by the comparison ϕ>ϕboulder, ϕ≈ϕboulder, and ϕ<ϕboulder.

Fig. 2: Volume fraction of the material with ϕ=ϕboulder. Isolines for Tmax: 273 K (onset of aqueous alteration), 873 K (serpentine dehydration), and 1450 K (onset of silicate melting). White squares correspond to bodies from Fig. 1.
A likely parent body needs to have a high fraction fboulder of the material with ϕ≈ϕboulder, in particular, if materials from all depths contribute to rubble-piles produced after a disruption[5]. Fig. 2 shows that for an initial porosity of ϕ0≥0.6, diagonal maximum fields emerge for fboulder, confining objects limited by a maximum radius of ≈10 km and an accretion at 5 Myr after CAIs.
Further observations to be reproduced is aqueous alteration and a partial dehydration. A first-order indicator for hydration (assumed as quasi-instantaneous[8,9]) is the water ice melting temperature that is surpassed for a variety of parameter values (Fig. 2, black dashed line), e.g., t0≲4.5 Myr for km-sized objects (an effect of the rapid decay of 26Al), and for a late accretion of larger bodies (an effect of their weaker cooling). An upper limit on the thermal conditions is post-dehydration partial melting, occurring for 1≲t0≲1.8 Myr (Fig. 2, white dashed line), that would contradict Ryugu’s composition. Thus, only the objects between the black and red lines should have experienced thermal conditions allowing for hydration, and remained cool enough not to dry out. Tmax obtained for a number of models satisfies the CI/CM alteration temperature range, while those between red and white dashed lines indicate dehydration at ≈873 K, consistent with some carbonaceous chondrites that match Ryugu spectrally[5,10].
Based on the recent detection of boulders with a porosity of 70-90%, additional calculations with an initial porosity of ϕ0=90% that goes beyond the range of 50-80% addressed initially[7] were carried out[11]. They confirm a parent body size of only a few km (Fig. 3).

Fig. 3: Peak temperature (left panels) and porosity fraction (right panels) for ϕ0=90%. Porosity distribution for km is most consistent with that of the boulders on Ryugu, i.e., high abundance of boulders with 30%<ϕ0<60% and small fraction of higher and lower porosities. Tmax of the abundant materials is consistent with the estimated dehydration temperature and is homogeneous (≈800 K), consistent with the globally uniform spectra on Ryugu.
Conclusions: Our calculations indicate a parent body of only a few km that accreted early within ≲2-3 Myr. Gradual porosity profiles of best-fit bodies indicate production of both low-and high-density boulders from one parent body. By contrast, fits of the carbonate formation data indicate a CI/CM parent body with R≈20-25 km and t0≈3.75 Myr[7], implying a population of km-sized early accreting highly porous planetesimals as parent bodies of Ryugu and a population of larger and late accreting less porous planetesimals as parent bodies of water-rich chondrites.
References: [1] Watanabe S. et al. (2019) Science, 364, 268-272. [2] Michikami T. et al. (2019) Icarus, 331, 179-191. [3] Grott M. et al. (2019) NatAst, 3, 971-976. [4] Hamm M. et al. (2020) MNRAS, 496, 2776-2785. [5] Sugita S. et al. (2019) Science, 364, eaaw0422. [6] Grott M. et al. (2020) JGR, 125, e2020JE006519. [7] Neumann W. et al. (2021) Icarus, doi.org/10.1016/j.icarus.2020.114166. [8] Jones C. L. and Brearley A. J. (2006) GCA, 70, 1040-1058. [9] Neumann W. et al. (2020) A&A, 633, A117. [10] King A. J. et al. (2018) MAPS, 54, 521-543. [11] Sakatani N. et al. (2021) NatAst, https://doi.org/10.1038/s41550-021-01371-7.
How to cite: Neumann, W., Grott, M., Trieloff, M., Jaumann, R., Biele, J., Hamm, M., Kührt, E., and Sakatani, N.: Parent body of (162173) Ryugu: High porosity, early accretion, small size, Europlanet Science Congress 2021, online, 13–24 Sep 2021, EPSC2021-177, https://doi.org/10.5194/epsc2021-177, 2021.
The characterization of the surface material of airless bodies is important for the comprehension of the geology and evolution, and also for mission decisions as the selection of the sample site. The thermophysical properties affect the surface temperature curve, that is the temperature as function of time; the thermal inertia, defined by TI=(k ρ c)0.5 (where k is the thermal conductivity, ρ the density and c the specific heat), is the key parameter that controls the maximum daytime temperature and the time at wich the maximum occurs. A thermophysical model requires to properly model the thermal conductivity of the soil; common thermophysical models assume that surface material (regolith or rock) can be approximated as a continuous, non-discretized material whose physical properties are constant or vary with depth in some mathematical way, e.g. the density increases exponentially with depth. These assumptions are valid when the particles sizes are smaller than the thermal skin depth; however, high-resolution images of the Nightingale Crater on Bennu (DellaGiustina et al., 2019) revealed a particle size distribution in which the particles are smaller/larger than, and comparable to, the diurnal skin depth (that is of order of cm). Furthermore, the Bennu's moderate thermal inertia appears to be inconsistent with the large number of boulders, suggesting that the link between thermal inertia and particle size is not adeguately captured by standard models. We have included in our thermophysical model (Rognini et al., 2019; Capria et al., 2014) the effects of the particle size distribution, using the results of Ryan et al. (2020); numerical simulations by these authors indicate that the thermal conductivity of a polydisperse soil is approximated by the thermal conductivity of a monodisperse soil with a particle diameter equal to Sauter mean D32, that is the diameter of a particle with the same volume-to-area ratio. Corrections for non-isothermality of the particles are also included. These modifications allow us to properly model the temperature of rubble pile asteroids and analyze the thermal data from future missions; in particular, we want to apply our model to Ryugu and Bennu, the goals of JAXA and NASA missions Hayabusa 2 and Osiris-Rex, respectively, although the model can be used for the general case. We investigate how to use the simulation results of our thermophysical model as input for the non-spherical dust dynamics model (Ivanovski et al., 2017) that has been modified to study dust motion in near asteroid environments after recent and future impacts on rubble-pile asteroids performed by JAXA and NASA missions. Furthermore, we plan to constrain the dust distribution based on the data and simulations obtained by these missions. This will allow to foresee what kind of dust environment the ESA mission HERA could find at the encounter with the Didymos binary system. A version of the thermophysical code is almost ready to be available to the scientific community through MATISSE, the webtool developed at the SSDC in ASI (Zinzi et al., 2016); the modifications reported in this work will be included.
Figure 1: examples of temperature curves calculated with different average particle sizes D=D32 (meters), for a point located on the equator of an asteroid with emissivity 0.9, heliocentric distance 1.6 A.U., albedo 0.1, density 2146 kg/m3, specific heat 600 J kg-1 K-1, rotation period 11.92 h.
References:
Capria, M. T., Tosi, F., De Sanctis, C., et al. (2014), Vesta surface thermal properties map, AGU, DOI:10.1002/2013GL059026
DellaGiustina, D.N., Emery, J.P., et al. (2019), Properties of rubble-pile asteroid (101955) Bennu from OSIRIS-REx imaging and thermal analysis, Nature Astronomy, DOI:10.1038/s41550-019-0731-1
Ivanovski, S. L., Zakharov, V. V., et al. (2017), Dynamics of aspherical dust grains in a cometary atmosphere: I. axially symmetric grains in a spherically symmetric atmosphere, Icarus, DOI:10.1016/j.icarus.2016.09.024
Rognini, E., Capria, M. T., Tosi, F., De Sanctis, C., et al. (2019), High Thermal Inertia Zones on Ceres From Dawn Data, JGR, DOI:10.1029/2018JE005733
Ryan, A., Pino Muñoz, D., Bernacki, M., Delbo, M. (2020), Full-Field Modeling of Heat Transfer in Asteroid Regolith: Radiative Thermal Conductivity of Polydisperse Particulates, JGR:Planets. DOI:10.1029/2019JE006100
Zinzi, A., et al. (2016), MATISSE: A novel tool to access, visualize and analyse data from planetary exploration missions, Astronomy and Computing, DOI:10.1016/j.ascom.2016.02.006
How to cite: Rognini, E., Capria, M. T., Zinzi, A., Palomba, E., and Ivanovski, S.: Thermophysical modeling with a particle size distribution: application to Ryugu and Bennu, Europlanet Science Congress 2021, online, 13–24 Sep 2021, EPSC2021-497, https://doi.org/10.5194/epsc2021-497, 2021.
Introduction:
Surface and internal properties of asteroids are crucial for modeling planetesimal formation, granular mechanics, impact cratering, and thermal evolution of their parent bodies. Additionally, they are essential for designing landing and sample return missions, as well as for a possible deflection scenario. Measurements of the Yarkovsky effect can be used to constrain thermal properties. Recently, [1] used this approach to estimate the thermal inertia of the small and super-fast rotator 2011 PT, and found it to be unexpectedly low.
In this work we studied the near-Earth object (NEO) 1998 KY26, target of the extended Hayabusa2 mission [2]. This asteroid shares some similar properties with 2011 PT, such as the diameter and the rotation period. We estimated the surface thermal inertia, and then investigated the possibility for it to be a rubble-pile or have a surface regolith layer. Further characterization of this object would be useful not only for the Hayabusa2 mission, but also for studying other NEOs.
Methods:
Thermal properties: Surface thermal conductivity has been estimated using the probabilistic model developed in [1]. This model is based on the comparison between the Yarkovsky effect predicted by an analytical model [3], and the measurements obtained from astrometry. The analytical model depends on several parameters: the semi-major axis of the orbit, the diameter of the object, the density, the thermal conductivity, the heat capacity, the obliquity, and the rotation period. The thermal conductivity K is unknown, while all the other parameters are either measured, or modeled using a suitable distribution. Assuming that a measurement of the Yarkovsky effect is available, we can solve the model vs observed Yarkovsky drift equation and determine a distribution of K using a Monte Carlo method.
The semi-major axis of 1998 KY26 is a = 1.2328 au, with a very small uncertainty, so we kept it fixed. Radar observations [4] suggest a diameter between 20 and 40 meters, hence we modeled this parameter using a Gaussian distribution with μ = 30 m and σ = 6 m. For the density ρ we used a lognormal distribution with mean value 2800 kg m−3 [4], and a standard deviation of 400 kg m−3. To understand how the result depends on ρ, we also tested lognormal distributions with mean equal to 1000, 1200, 1500, 1800, 2100, and 2400 kg m−3 and the aforementioned standard deviation. The heat capacity C is unknown, and we fixed it at 800 J kg−1 K−1. The obliquity is also unknown, and we used a population-based distribution [5]. The rotation period has been measured to be P = 10.7015 ± 0.0004 min [4]. The semi-major axis drift reported in the JPL Small Body Database is da/dt = -0.0116 ± 0.002 au My−1. The errors of these two parameters were modeled using a Gaussian distribution.
Critical spin period and regolith preservation: We used an analytical model [6] to compute the critical spin period Tc for different values of bulk cohesion and density. Additionally, we calculated its mean normal stress p to see if this asteroid is in the tensile or compressive regime. Finally, we implemented a model [7] for studying the stability of surface regolith and its preservation.
Results:
We found that the probability density function (PDF) for K is always bimodal with very low values (Fig. 1). For the nominal value of the density ρ = 2800 kg m−3 the most likely values of K are 7·10-5 and 3·10-3 W m-1 K-1. The corresponding values of thermal inertia Γ are 12 and 67 J m-2 K-1 s-1/2. Fig. 2 shows how the peaks depend on the density, and we can notice that they approach each other as ρ increases.
Fig. 1 PDF of K (left) and Γ (right) for ρ = 2800 kg m−3 and C = 800 J kg-1 K-1.
For bulk cohesion values of several pascals Tc remains lower than P. The resulting value of p = 8.5 Pa suggests that the asteroid is in a tensile regime for any given value of ρ. We found that the minimum cohesion needed to keep 1 mm regolith particles on the whole surface is of the order of 10−3 Pa.
Fig. 2 Thermal conductivity maxima for different density distributions (C = 800 J kg−1 K−1 ).
Summary and conclusions:
The thermal conductivity values estimated for 1998 KY26 are unexpectedly low for small fast rotators. Therefore, the asteroid either has a regolith layer on its surface or a high porosity that might be related to a rubble-pile structure. The model we applied for the stability of a surface regolith layer on a supposed monolithic object shows that even a weak cohesion strength may permit small particles to stay at the surface. On the other hand, even if the asteroid has a rubble-pile internal structure, we show that it can still survive the fast rotation when the cohesion is above a few pascals. The required cohesion agrees with the available data for small solar system objects.
References:
[1] Fenucci, M. et al. (2021), A&A, 647, A61
[2] Hirabayashi, M. et al. (2021), Adv. Space. Res., in press
[3] Vokrouhlický, D. (1999), A&A, 344, 362-366
[4] Ostro, S. J. et al. (1999), Science, 285, 557-559
[5] Tardioli, C. et al. (2017), A&A, 608, A61
[6] Hu, S. et al. (2021) , MNRAS, 502, 5277
[7] Li, X. & Scheeres, D. J. (2021), Icarus, 357, 114249
How to cite: Petković, V., Fenucci, M., and Novaković, B.: The extended Hayabusa2 mission target 1998 KY26: another small super-fast rotator with low thermal inertia., Europlanet Science Congress 2021, online, 13–24 Sep 2021, EPSC2021-390, https://doi.org/10.5194/epsc2021-390, 2021.
Introduction
Large and Low-albedo asteroids contain less altered materials that provide information related to the origin and evolution of the solar system and the conditions in which the solar nebula was active. Whether all these large asteroids share the same spectral properties with the dwarf planet Ceres can place crucial constraints on the thermal and dynamical theories of their formation and evolution of the early solar system. To that end, we measured new near-infrared spectra of large and low-albedo asteroids in the outer Main Belt region. Here we will present these new spectra and put the results in the context of dynamical and thermal models, providing more information about the origin and evolution of small bodies of the early solar system.
Methods
We obtained spectra of large asteroids with the long-wavelength cross dispersed (LXD: 1.9-4.2 µm) and PRISM (0.7-2.52 µm) modes of the SpeX spectrograph/imager at the NASA Infrared Telescope Facility (IRTF). The asteroids were observed between 2015 and 2020. The measured LXD spectra of low-albedo asteroids show a steep increase of apparent reflectance longward of ~2.5 μm, due to thermal radiation from the asteroids’ surfaces. Removing the thermal excess in spectra is important for proper characterization of mineral absorptions in asteroids. We used the Near-Earth Asteroid Thermal Model (NEATM) (Harris et al. 1998) to constrain the model thermal flux longward of 2.5 μm in asteroids.
Results
The studied low-albedo and large asteroids consist of objects with diameters greater than ~120 km, a spectral class of C, B, P, F, and D, and an albedo of less than 9%. All spectra were found to be consistent with Ceres- and Europa-like groups (Figure 1), which were found to have a band centered around 3.05-3.15 µm, a broad 1-µm feature and concave-up NIR (0.85–2.45 µm) spectral shape at shorter wavelengths (Takir and Emery 2012). We also included previously published visible spectra (0.4-0.93-µm) in this study, to help provide a deeper understanding of surface composition of these asteroids.
Large and low-albedo asteroids studied previously (Takir and Emery 2012) and here show an interesting orbital distribution in that they are all located in the 2.8 < a < 3.4 AU region (Figure 4). Figure 1 also includes the low albedo asteroids, 24 Themis and 65 Cybele, which were observed by Rivkin and Emery (2010) and Campins et al. (2010), and Licandro et al. (2011), respectively.
All large low-albedo asteroids share spectral similarities with Europa- & Ceres-like groups in that they all have a broad 1-µm feature, which is attributed to aqueous alteration; however, these asteroids have an absorption feature centered ~3.15 µm- consistent with Europa-like group only. Hygiea is the only discovered asteroid that has a surface composition similar to that of the dwarf planet (1) Ceres (Takir and Emery 2012, Vernanzza et al. 2017).
Figure 1. Orbital distribution of Ceres- and Europa-like groups, which are located in the ~2.8-3.4 AU region. The filled diamonds represent Ceres-like group, which include the dwarf planet Ceres and asteroid Hygiea. The rest of the low-albedo and large asteroids are spectrally similar to the Europa-like group (filled circles).
References
- Campins et al. Nature 464, 1320–1321(2010).
- A.W. Harris. Icarus 131, 291-301 (1998).
- Licandro et al. Astron. Atrophys. 525, A34 (2011).
- A.S. Rivkin, J.P. Emery, J.P. Nature 64, 1322–1323 (2010).
- D. Takir, J.P. Emery. Icarus 219, 641-654 (2012).
- P. Vernazza et al. Astron. J. 153, 72 (2017).
How to cite: Takir, D., Neumann, W., Raymond, S., Trieloff, M., and Emery, J. P.: Near-Infrared Observations of Large and Low-Albedo Asteroids: Thermal and Dynamical Context, Europlanet Science Congress 2021, online, 13–24 Sep 2021, EPSC2021-855, https://doi.org/10.5194/epsc2021-855, 2021.
Despite the observed signs of large impacts on the surface of Ceres, there is no confirmed collisional family associated with this dwarf planet. Carruba et al. (2016) carried out a dynamical study in the ‘pristine region’ of the main asteroid belt and proposed a sample of 156 asteroids as candidates to be members of a Ceres’ collisional family. Our main objective in this work is to study the spectral link between Ceres and a total of 14 observed asteroids among the family candidate samples proposed by Carruba et al. (2016) to explore their potential membership to the collisional family.
For this aim we obtained visible spectra of these 14 asteroids using the OSIRIS spectrograph at the 10.4m Gran Telescopio de Canarias (GTC), located at the El Roque de los Muchachos Observatory (La Palma, Spain), managed by the Instituto de Astrofísica de Canarias (IAC). We reduced the raw images and extracted the spectra with a semi-automatic Python-based pipeline. After that, we computed spectral slopes in two different wavelength ranges: one in the visible (490-800 nm) and one in the visible-near-infrared (800-920 nm) to compare the obtained values with those in Ceres’ surface already Ncomputed by Rousseau et al. (2020) using the spectrometer onboard the NASA Dawn spacecraft.
We present the spectra and the taxonomy of 14 observed asteroids, their taxonomy, and calculated slopes. We concluded that only one asteroid could be compatible with an origin in a primitive collision at Ceres. We have also found a hydration band at 700 nm, also found in the surroundings of crater Occattor (Rizos et al. 2019). On the other hand, we have also found a relation between the spectral slope of the craters in Ceres’ surface and their age in both wavelength ranges. This behavior could be related to space weathering.
Exploring the sample as a whole, the variability in member’s taxonomy and the differences in their spectral slopes makes us conclude that they cannot be considered as members of a collisional family of Ceres. However, the presence of a hydration band in one of the asteroids could be proof that such a family may have existed.
Bibliography:
Carruba, V., Nesvorný, D., Marchi, S., & Aljbaae, S. 2016, Monthly Notices of the Royal Astronomical Society, 458, 1117
Rousseau, B., De Sanctis, M. C., Raponi, A., et al. 2020, A&A, 642, A74
Rizos, J. L., de León, J., Licandro, J., et al. 2019, Icarus, 328, 69
How to cite: Tinaut-Ruano, F., de Leon, J., Tatsumi, E., Rousseau, B., and Rizos, J. L.: Spectroscopic study of Ceres' collisional family candidate members: taxonomic classification and comparison to Ceres' surface., Europlanet Science Congress 2021, online, 13–24 Sep 2021, EPSC2021-524, https://doi.org/10.5194/epsc2021-524, 2021.
Introduction:
The Dawn NASA mission investigated Ceres with its payload, including the Visual (0.25–1 μm) and InfraRed (1–5 μm) mapping spectrometer (VIR) [1].
The first findings from the VIR-IR channel confirmed some previous results from ground-based observations [2]: composition of surface includes a dark component (carbon and/or magnetite) and Mg-carbonates. The detection of a strong absorption at 2.7 μm was assigned to Mg-phyllosilicates; while the 3.06-μm absorption was attributed to NH4-phyllosilicates [3].
The elemental data from the GRaND instrument [4] provided additional constraints on the abundance of C, H, K, and Fe, [5,6], establishing that the dark material that makes up most of Ceres’ surface should be like carbonaceous chondrite [7,8].
The recent improvement in the VIR-VIS channel calibration [9,10] allows taking advantage of the full VIS spectral range. Following [9] and [10], IR channel calibration was also refined [9,10,11,12].
Data were photometrically corrected to standard viewing geometry using Hapke modeling [13] according to [14]. Thermal emission was removed [11]. The resulting spectrum is shown in Fig. 1.
The VIR data have shown a clear absorption at 1 μm confirming previous ground observations [2]. The interpretation of such feature, in the context of the average spectrum of Ceres, provides new constraints on Ceres mineralogy.

The 1μm feature:
The 1-micron band that characterizes the average spectrum of ceres is also common in the spectra of several types of carbonaceous chondrites, (e.g., Ivuna CI, MAC87300 C2-ung, and DAV92300 CK4) (Fig. 2).
Previous work [15,16,17] has suggested that these meteorites are characterized by the presence of mafic silicates and magnetite, which are often the main constituents of their fine-grained matrix in addition to low-crystallinity components. In the VIS-NIR range, the main bands of mafic silicates are between 0.9 and 1.1 μm. These absorption features are induced by Fe2+, whose coordination in the crystal structure determines the position of the bands. Ferrous oxides, such as magnetite, show very shallow absorption in the VIS-NIR range. Iron-containing carbonates also have a broad band near 1 μm, but they also show several other vibrational bands between 1.7 and 2.6 μm, allowing them to be distinguished from silicates and oxides. The near-1 μm band associated with the presence of iron is also evident in the spectra of low-crystallinity Fe-containing materials, such as tektites and volcanic glasses. In this case, the depth of the 1μm band varies depending on the amount of iron in octahedral coordination [18].

Mineralogical implications:
The possible presence of magnetite on the surface of Ceres as one of the agents responsible for the low albedo of the dwarf planet may be supported by the mineral assemblage as detected by the VIR. Thus, the simultaneous presence of Mg-serpentine could suggest that most of the magnetite could have formed during the serpentinization process because of a serpentinization reaction [21]. The contemporaneous presence of magnetite and serpentine could disguise the spectral contribution of olivine, which may be present as a partially serpentinized primary crust. The occurrence of olivine has also been identified in laboratory heated serpentine and in heated carbonaceous chondrites [22,23]. These laboratory data show that the incipient crystallization of metamorphic olivine changes spectral properties by introducing a bump near 0.8 μm and a broad band near 1 μm, which resembles that observed in the average Ceres spectrum. This does not prove that Ceres experienced a high-temperature metamorphic process because the metamorphic olivine nucleation involves high temperatures that are inconsistent with the stability of ammonium hosted in clay minerals [24,25]. In this case, the presence of olivine could be an indication of a partial serpentinization process that affected the surface of Ceres. During the serpentinization process, the dissolution of olivine is also related to the formation of poorly crystalline phases [26] that represent metastable precursors of crystalline serpentine. Amorphous and nanocrystalline material has also been found in the matrix of several carbonaceous chondrites [27]. Spectral data obtained on mixtures of crystalline olivine and ferrous glass indicate that by increasing the content of the amorphous component, the band at 1 μm becomes shallower [28]. An additional complication in the interpretation of the 1 μm band in the average Ceres spectrum can be introduced by the presence of a fine-grained coating of iron-containing material that can introduce a spectral slope [29] consistent with the VIR data.
Conclusions:
Remnants of primary olivine, magnetite, and/or low-crystallinity iron phases may be responsible for the 1-μm band in Ceres' average spectrum. Further spectral modeling and laboratory activities will allow a better comprehension of this absorption feature giving important hints on the geological evolution of the dwarf planet.
Acknowledgments:
VIR data are available through the Planetary Data System (PDS) online data archive
at:https://sbn.psi.edu/pds/resource/dawn/dwncvirL1.html. The VIR is funded by ASI and was developed
under the leadership of INAF-IAPS. Selex-Galileo, Italy, built the instrument. The authors acknowledge the support of the Dawn Science, Instrument, and Operations Teams. This work was supported by ASIINAF n. I/004/12/0 and NASA.
References:
[1]De Sanctis MC et al SpaceSciRev (2011) [2]Rivkin AS et al SpaceSciRev (2011) [3]De Sanctis MC et al Nature (2015) [4]Prettyman TH et al SpaceSciRev (2011) [5]Prettyman TH Science (2017) [6]Prettyman TH et al 49th LPSC (2018) [7]Marchi S et al Nat Astron (2019) [8]Kurokawa H et al J Geophys Res Planets (2020) [9]Rousseau B et al Rev Sci Instrum (2019) [10]Rousseau B et al Astron Astrophys (2020) [11]Raponi et al Life (2021) [12]Carrozzo FG et al Rev Sci Instrum (2016) [13]Hapke B Theory of Reflectance and Emittance Spectroscopy Cambridge UK (1993) [14]Ciarniello M et al Astron Astrophys (2017) [15]King AJ et al Earth Planets and Space (2015) [16]Kallemeyn G W Meteoritics (1992) [17]Marlow R et al Antarct Met Newslett (1993) [18]Bell PM et al Proc 7th Lunar Sci Conf (1976) [19]Castillo‐Rogez J et al Meteorit Planet Sci (2018) [20]McSween HY et al Meteorit Planet Sci (2018) [21]Evans BW Geology (2010) [22]Hiroi T et al Antarct Met Res (1999) [23]Cloutis EA et al Icarus 221 (2012) [24]De Angelis et al JGR Planets (2021) [25]Bishop et al Planet Space Sci (2002) [26]King HE et al Environ Sci Tech (2010) [27]Abreu NM et al Microsc Microanal Suppl2 (2019) [28]Horgan BHN et al Icarus (2014) [29]Fisher EM Pieters CM Icarus (1993)
How to cite: Ferrari, M., Raponi, A., De Sanctis, M. C., Ammannito, E., Ciarniello, M., Rousseau, B., Frigeri, A., Carrozzo, F. G., Castillo-Rogez, J. C., Raymond, C. A., and Russell, C. T.: Mineralogical implications for the 1-micron feature in the refined average spectrum of Ceres, Europlanet Science Congress 2021, online, 13–24 Sep 2021, EPSC2021-793, https://doi.org/10.5194/epsc2021-793, 2021.
On the 12 November 2014, the Philae lander descended towards comet 67P/Churyumov–Gerasimenko, bounced twice off the surface, finally arriving under an overhanging cliff in the Abydos region. In this study (published in Nature on 28th Oct 2020), we present the results of our investigation of a previously undiscovered site of the second touchdown, where Philae spent almost two minutes of its cross-comet journey, producing four distinct surface contacts on two adjoining cometary boulders. It exposed primitive water ice —that is, water ice from the time of the comet’s formation 4.5 billion years ago — in their interiors while travelling through a crevice between the boulders. Our multi-instrument observations made 19 months later found that this water ice, mixed with ubiquitous dark organic-rich material, has a local dust/ice mass ratio of 2.3 +0.2/−0.16 : 1 , matching values previously observed in freshly exposed water ice from outbursts and water ice in shadow. At the end of the crevice, Philae fell forward and left a 0.25-metre-deep impression in the boulder ice, providing in situ measurements confirming that primitive ice has a very low compressive strength (less than 12 pascals, softer than freshly fallen light snow) and allowing a key estimation to be made of the porosity (75 ± 7 per cent) of the boulders’ icy interiors. Our results provide constraints for cometary landers that seek to access a volatile-rich ice sample.
How to cite: O'Rourke, L. and the Philae on Skull-top Crevice team: The Philae Lander reveals the presence of low strength primitive ice inside cometary boulders, Europlanet Science Congress 2021, online, 13–24 Sep 2021, EPSC2021-769, https://doi.org/10.5194/epsc2021-769, 2021.
Previous research on Asteroids (24) Themis and (65) Cybele have shown the presence of an absorption feature at 3.1 μm reported to be directly linked to surface water ice. We searched for water vapor escaping from these asteroids with the Herschel Space Observatory HIFI (Heterodyne Instrument for the Far Infrared) Instrument. While no H2O line emission was detected, we obtained sensitive 3σ water production rate upper limits of Q(H2O)< 4.1×1026 molecules s−1 for Themis and Q(H2O) <7.6 × 1026 molecules s−1 for the case of Cybele. Using a thermophysical model, we merged data from the Subaru/Cooled Mid-Infrared Camera and Spectrometer and the Herschel SPIRE (Spectral and Photometric Imaging Receiver) instrument with the contents of a multi-observatory database and thus derived new radiometric properties for these two asteroids. For Themis, we obtained a thermal inertia G = 20 +25-10 J m−2 s−1/2 K−1, a diameter 192 +10-7 km, and a geometric V-band albedo pV=0.07±0.01. For Cybele, we found a thermal inertia G = 25+28-19 J m−2 s−1/2 K−1, a diameter 282±9 km, and an albedo pV=0.042±0.005. Using all inputs, we estimated that water ice intimately mixed with the asteroids’ dark surface material would cover <0.0017% (for Themis) and <0.0033% (for Cybele) of their surfaces, while an areal mixture with very clean ice (Bond albedo 0.8 for Themis and 0.7 for Cybele) would cover <2.2% (for Themis) and <1.5% (for Cybele) of their surfaces. Based on these very low percentage coverage values, it is clear that while surface (and subsurface) water ice may exist in small localized amounts on both asteroids, it is not the reason for the observed 3.1 μm absorption feature.
How to cite: O'Rourke, L., Müller, T. G., Biver, N., Bockelée-Morvan, D., Hasegawa, S., Valtchanov, I., Küppers, M., Fornasier, S., Campins, H., Fujiwara, H., Teyessier, D., and Lim, T.: The 3.1 μm absorption feature on asteroids (24) Themis and (65) Cybele is not due to surface water ice, Europlanet Science Congress 2021, online, 13–24 Sep 2021, EPSC2021-796, https://doi.org/10.5194/epsc2021-796, 2021.
We only have indirect information on the internal material properties of small bodies in the Solar System, coming chiefly from the analysis of meteorites. Some samples show that there may have been chemical processes that at some point in the early history of the Solar system significantly altered the mineralogical and lithological characteristics of these objects. One of these chemical processes is the hydration of silicates. As it is an exothermic reaction, it may have contributed to the heating of planetesimals in the early Solar system in addition to heat from accretion and radioactive decay. We constructed a model considering the chemical process of serpentinization, heat from radioactive decay and accretion, and the internal heat transfer.
Our serpentinization model is based on earlier models and contains improvements in the consideration of heat capacities and lithospheric pressure, and in the calculation of the amount of interfacial water. In one of the main serpentinization processes Mg-pyroxenes (enstatite, MgSiO3) is also required in addition to the Mg-rich olivine (forsterite, Mg2SiO4); the end product of the reaction is purely serpentinite (Mg3Si2O5(OH)4). The following reaction shows the stoichiometric equation of the formation of serpentinite:
Mg2SiO4 + MgSiO3 + 2H2O -> Mg3Si2O5(OH)4
We take into account several effects that have previously been neglected and a comparison of our results with previous calculations shows that there are differences, e.g. in the serpentinization time, the amount of produced heat, or the process works below the freezing point slower (Fig. 1).

Figure 1.: Serpentinization time (tserp) and temperature increase (∆T) during the serpentinization process. tserp is the time when 90% of reagent materials run out for a specific initial temperature (Tini). Orange diamonds represent the results by Góbi & Kereszturi (2017) for an object with 15 km radius and the black line represents the improved model for an object with 15 km radius, 16% porosity, 1/2 olivine-to-water ratio and the time steps used was 0.01 year. Here we examined the innermost 100 m radius of the object, to be comparable with the previous results.
Our chemical heat model has been incorporated into a more complex model that contains radioactive decay and heat transfer. We examined whether these chemical processes could take place under the different conditions in the outer Solar System and influence significantly the evolution of the objects there (Figs. 2 and 3).

Figure 2.: Temperature increase (∆T) due to serpentinization, taking into account radioactive decay and heat transfer. Planetesimals with different sizes have been considered. The black curve represents an object with 50 km radius and the red curve represents an object with 15 km radius. The time step used was 0.5 yr, the layer thickness in the object dr=1 km, the initial porosity 16\% and we used an olivine-to-water ratio of 0.5. The blue curve represents the thermal evolution considering radioactive decay and heat transfer, but no chemical reactions (serpentinization).

Figure 3.:Temperature increase (∆T) caused by serpentinization, taking into account the radioactive decay and heat transfer in the case of a typical large object outer Solar System object. The average density is 1800 kg/m3, with an olivine-to-water ratio of 0.168 and the radius of the test object is 300 km. The curves with different colours represent layers of different depths: 5 km (black), 10 km (green), 50 km (blue), and core (red).
How to cite: Farkas-Takacs, A., Kiss, C., Góbi, S., and Keresztúri, Á.: Serpentinization in the thermal evolution of icy Kuiper belt objects in the early Solar system, Europlanet Science Congress 2021, online, 13–24 Sep 2021, EPSC2021-543, https://doi.org/10.5194/epsc2021-543, 2021.
Please decide on your access
Please use the buttons below to download the presentation materials or to visit the external website where the presentation is linked. Regarding the external link, please note that Copernicus Meetings cannot accept any liability for the content and the website you will visit.
Forward to presentation link
You are going to open an external link to the presentation as indicated by the authors. Copernicus Meetings cannot accept any liability for the content and the website you will visit.
We are sorry, but presentations are only available for users who registered for the conference. Thank you.
Please decide on your access
Please use the buttons below to download the presentation materials or to visit the external website where the presentation is linked. Regarding the external link, please note that Copernicus Meetings cannot accept any liability for the content and the website you will visit.
Forward to session asset
You are going to open an external link to the asset as indicated by the session. Copernicus Meetings cannot accept any liability for the content and the website you will visit.
We are sorry, but presentations are only available for users who registered for the conference. Thank you.

